El derecho de representación constituye el fundamento o ratio por el cual el legislador ofrece la herencia a determinadas personas en defecto de otras. Se define como un especial modo de suceder en cuya virtud suceden al causante los descendientes en defecto o en lugar de su ascendiente, ocupando la posición jurídica que le correspondería si hubiera podido o querido heredar.
A tenor de lo dispuesto en el artículo 512 del Código Civil cubano, si el llamado a una sucesión premuere al causante, o renuncia, o es incapaz de suceder, ocupan su lugar en la herencia sus descendientes. El Código Civil español, en su artículo 924, define al derecho de representación como aquel que tienen los parientes de una persona para sucederle en todos los derechos que tendría si viviera o hubiera podido heredar.
Así algunas legislaciones no sólo concibe la premuerte y la incapacidad para suceder sino también la renuncia como generadora del derecho de representación. Mientras, sostiene José Luis Lacruz Berdejo que en el Derecho español "el jefe de la estirpe, al ejercitar su opción hereditaria en sentido negativo, actúa como tal jefe y renuncia a la sucesión para sí y para los suyos";[1] de lo anterior se colige que es necesaria la imposibilidad de suceder no imputable al representado, lo que no ocurre en la renuncia; cfr. artículo 923 del Código Civil español.
Desde el punto de vista subjetivo, se requiere la estricta pertenencia de causante, representado y representante a las líneas recta descendente y colateral.
El representante sucede directamente al causante, no a su ascendiente, de ahí que las condiciones que se exigen para que tenga lugar la delación o llamado a la herencia deben observarse en la persona del representante, respecto a la persona del causante.
El representado es sólo el eslabón intermedio o punto de referencia que determina quiénes son los sujetos titulares del derecho y el quantum de la cuota hereditaria; no recibe delación por lo que no adquiere derechos sucesorios y, por tanto, no tiene nada que transmitir a sus descendientes. Lo anterior significa que el representante debe sobrevivir al causante y ser capaz para sucederle, lo que no necesariamente debe ocurrir respecto al representado.
En sentido objetivo, se exige la premuerte, incapacidad o renuncia del sujeto a quien se representa, extremos que deben acreditarse a través de la certificación de defunción (premuerte), la declaración judicial de incapacidad sucesoria,[2] o la escritura notarial de renuncia a la herencia (en los ordenamientos jurídicos que la reconocen como causa), respectivamente.
Antecedentes históricos
Aparece en el Derecho romano a favor de los descendientes de un hijo prefallecido y limitadamente en la línea colateral, beneficiando a los hijos de los hermanos premuertos. Prevalecía el principio viventis non datur rapraesentatio, lo que significa que no procedía la representación de personas vivas, sino sólo en caso de premoriencia.
El Proyecto de Código Civil español de 1851 introdujo como causa del derecho de representación la indignidad, lo que fue seguido por el vigente Código Civil español, que en su artículo 929, establece que “no podrá representarse a una persona viva sino en los casos de desheredación e incapacidad”.
Naturaleza jurídica y fundamento
En el plano doctrinal, se han vertido algunas teorías que intentan explicar la naturaleza jurídica de esta peculiar forma de suceder.
Una primera aproximación es aquella que la concibe como una modalidad de la representación legal. Sin embargo, esto sólo es admisible si la entendemos no en un sentido técnico-jurídico, sino gramatical, como sinónimo de “hacer las veces”, sustituir, subrogarse, ocupando el descendiente el lugar de su ascendiente en el llamamiento hereditario.
No cabe hablar de representación cuando faltan sus presupuestos naturales del ser: la actuación en nombre e interés del representado (agere nomine alieno) y la eficacia jurídica directa e inmediata para el mismo; desde el momento en que este “representante” obra en su propio nombre e interés y es el único titular del ius delationis. La premuerte y la incapacidad sucesoria impiden la delación; la renuncia la extingue, de ahí que, cuando tienen lugar, la titularidad del derecho de aceptar o repudiar la herencia corresponde iure propio al descendiente. La crítica apunta además que la paternidad del término no corresponde a los autores romanos sino a los comentaristas del Derecho intermedio. En el Derecho romano no existía el denominado ius repraesentationis, sino la successio in locus parentis o successio per stirpes.
La teoría de la ficción legal sostiene que la ley articula un mecanismo de ficción para favorecer a los descendientes, considerando que éstos ocupan el grado de parentesco que corresponde al ascendiente respecto al causante, y así se respeta y confirma el principio de proximidad de grado. Es criticado este punto de vista que se apoya en una creación artificiosa de la ley para fundamentar un principio, cuando la realidad evidencia una desigualdad de grado que no implica exclusión del pariente más lejano por el más próximo, sino una coparticipación de todos en el mismo llamado sucesorio. La tesis que lo concibe como modalidad de la subrogación legal propugna que el representante, por ministerio de la ley, se subroga, subentra o ingresa en la posición jurídica que hubiere correspondido al representado y en la transmisibilidad de la expectativa de derecho, de llegar a suceder al causante. Se le opone el no existir real expectativa ni posición jurídica en la persona que, o bien no ha recibido delación (por haber premuerto o ser incapaz de suceder) o la ha extinguido (caso de renuncia) y entonces ya no cabe hablar de transmisión.
La doctrina de la sustitución legal equipara el derecho de representación a la sustitución vulgar de la sucesión testamentaria. Constituye una sustitución ope legis en cuya virtud suceden los descendientes en defecto de sus padres, manteniéndose íntegra la misma atribución patrimonial. Los que la contradicen sostienen lo improcedente de la comparación, dado por la flexibilidad que en cuanto a los efectos y la configuración permite la institución testamentaria, lo que no ocurre en el derecho de representación, cuyos sujetos, supuestos causales, y consecuencias se hallan predeterminados por ley.
Se han formulado además las teorías que la conciben como una vocación, sea colectiva, indirecta o per relationem. Desde esta óptica constituye un llamamiento de forma unitaria o colectiva a los integrantes de la estirpe; una delación indirecta a determinadas personas subordinada al hecho de que otra no pueda o no quiera suceder; y una vocación per relationem en cuanto a que si bien la ley otorga al representante una posición originaria y autónoma, lo hace en consideración al contenido del derecho que hubiere correspondido al representado.
Podemos sin dificultad develar la entraña jurídica del derecho de representación. Esta forma de suceder, como el derecho propio y el derecho de transmisión, consiste en la atribución legal a un sujeto, del derecho de aceptar o repudiar la herencia de otro. Una misma titularidad, conferida por la ley en consideración a un determinado fundamento, que viene a ser lo que difiere. No es cierto que dé lugar a una delación o llamamiento indirecto. El representante goza de una delación ex novo, única, si bien vale la referencia per relationem al representado, pues respecto a él se determina subjetiva y objetivamente el alcance y contenido del llamamiento.
En torno al fundamento del derecho de representación se han esgrimido dos criterios extremos y un tercero conciliatorio. La tesis subjetiva se funda en el afecto y cariño del causante, que se proyecta sobre los descendientes a falta del padre premuerto (se conoce también como la teoría de la voluntad presunta del causante). La limitación del derecho de representación en la línea colateral se explica, por esta tesis, en que el afecto no se extiende con la misma intensidad sobre aquellos que superan el tercer grado de parentesco.
La tesis objetiva se apoya en la necesidad de protección legal a la familia del causante, atendiendo a las estirpes, y en razones humanitarias, para reparar o compensar los perjuicios que la muerte prematura puede ocasionar a los huérfanos. La teoría mixta encuentra el fundamento tanto en el orden natural de los afectos como en los fines de protección social a la familia.
La realidad es que las normas que reconocen el derecho de representación ofrecen amparo legal a los descendientes del causante sin que contenga un mandato dirigido a sus intérpretes para que indaguen en la voluntad o el sentimiento del causante de la sucesión. Sólo entendiendo que se trata de una presunción legal iuris et de iure puede sostenerse. El fundamento reside en la necesidad de tutela económica a los nietos y ulteriores descendientes, por ser los parientes más próximos al causante en esa línea, y presuntamente dependientes del mismo, a falta de su padre. La restricción en la línea colateral viene dada tanto por el orden natural de los afectos, que en la generalidad de los casos va decreciendo hacia los hijos y descendientes de los sobrinos, como porque razones de seguridad jurídica aconsejan evitar la disgregación del patrimonio hereditario ilimitadamente entre los familiares supuestamente menos deseados y menos ligados en lo económico al causante.
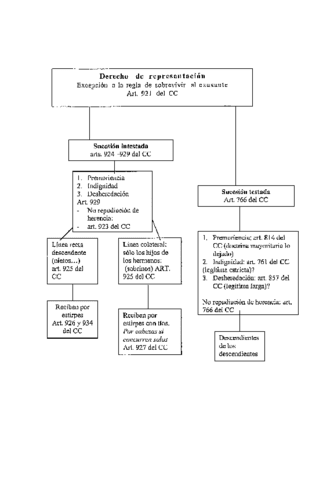
Ámbito sucesorio en que tiene lugar
El escenario jurídico natural en que tiene lugar el derecho de representación, precisamente por las antedichas razones que lo fundamentan, es la sucesión intestada.
No obstante el Código Civil español confiere derecho de representación a los hijos o descendientes del heredero forzoso que ha sido desheredado por el testador, o declarado indigno por incurrir en alguna causa de indignidad. En el Derecho español sólo procede la representación de las personas vivas en caso de desheredación e indignidad, limitándose aquí la sucesión del descendiente a la cuota de legítima que le hubiere correspondido al ascendiente de haber podido suceder; cfr. artículos 761 y 857 del Código Civil español. La exclusión de la herencia por indignidad o la desheredación hace que los descendientes del indigno o desheredado adquieran la condición de legitimarios.
La premoriencia del hijo convierte en legitimarios a sus descendientes más próximos en grado al causante y así sucesivamente. El artículo 814, párrafo tercero, del Código Civil español, exige la existencia de un testamento válido en el que se disponga a favor de un descendiente, quien premuere al testador y deja descendencia, la cual es omitida por éste; pero la norma establece una ficción o una presunción (iuris et de iure) según la cual tales descendientes no se consideran preteridos y adquieren su cuota legitimaria en virtud del derecho de representación conferido.
Efectos
La existencia del ius repraesentationis excluye el acrecimiento, y produce como efecto fundamental la distribución de la herencia por estirpes. Significa que el (los) representante(s) no recibirán más de lo que hubiera recibido su representado de haber podido o querido suceder. El fundamento de este modo de división de la herencia está en mantener la igualdad de las cuotas y el equilibrio entre los coherederos, de manera que no resulten perjudicados los parientes de grado más próximo por la concurrencia de aquellos que ostentan un más lejano grado de parentesco.
Según la ficción legal de que los representantes ocupan el mismo grado parental que su representado respecto al causante, se considera que aquellos, cualquiera sea su número, constituyen una sola persona a efectos de la división, percibiendo la porción que hubiere correspondido a su ascendiente y respondiendo de las mismas obligaciones que hubieren sido imputables al representado (obligación de colacionar). Al interior de la estirpe, si son varios representantes, la distribución se realizará per cápita.
Cabría distinguir la representación a efectos sucesorios, de la representación a efectos meramente particionales, entendiendo que no siempre que proceda el derecho de representación, la distribución de la herencia se hará por estirpes, pues matemáticamente se hará por partes iguales en los casos de estirpe única y de pluralidad de estirpes con igual número de miembros. Coinciden la distribución jurídica y la matemática cuando existen herederos de distinto grado de parentesco, o de igual grado, formando estirpes con distinto número de miembros.[3]
Puede señalarse también como efecto del derecho de representación la exclusión del acrecimiento hacia los coherederos que componen las otras estirpes, cuando al interior de la estirpe se produzcan la premuerte, incapacidad o renuncia de alguno de sus miembros, acreciendo dicha cuota sólo al resto de sus integrantes.
Véase también
- Portal:Derecho. Contenido relacionado con Derecho.
- Derecho propio
- Parentesco
- Derecho de transmisión
- Derecho de representación (España)
Referencias
Bibliografía
- Albaladejo, Manuel. Curso Derecho Civil, Tomo V, Sucesiones, Bosch, Barcelona.
- Castán Tobeñas, José. Derecho Civil Español Común y Foral, Tomo VI, Derecho de Sucesiones, Vol. I, La sucesión en general. La sucesión Testamentaria (1ª parte), 9ª Edición revisada y puesta al día por José María Castán Vázquez y José Batista Montero- Ríos, Reus, S. A, Madrid. 1989.
- Díez Picazo, Luis y Antonio Gullón, Sistema de Derecho Civil, vol. IV, Derecho de Familia- Derecho de Sucesiones, 2ª ed. Ed. Tecnos, S:A. Madrid. 1982.
- Espín Canovas, Diego, Manual de Derecho Civil Español, vol. V Sucesiones, Ed. Revista de Derecho Privado, Madrid, 1957.
- Puig Peña, Federico. Compendio de Derecho Civil, Tomo IV, Familia y Sucesiones, Vol. I, Ed. Nauta, S.A, Barcelona, 1966.
- Vallet de Goitisolo, Juan Berchmans. Estudios de Derecho Sucesorio, Ed. Montecorvo, Madrid, 1980.
Enlaces externos
- Derecho de representación



![]()